Министерство Юстиции Российской Федерации
версия для слабовидящих
×
Закрыть
Информация об официальном опубликовании
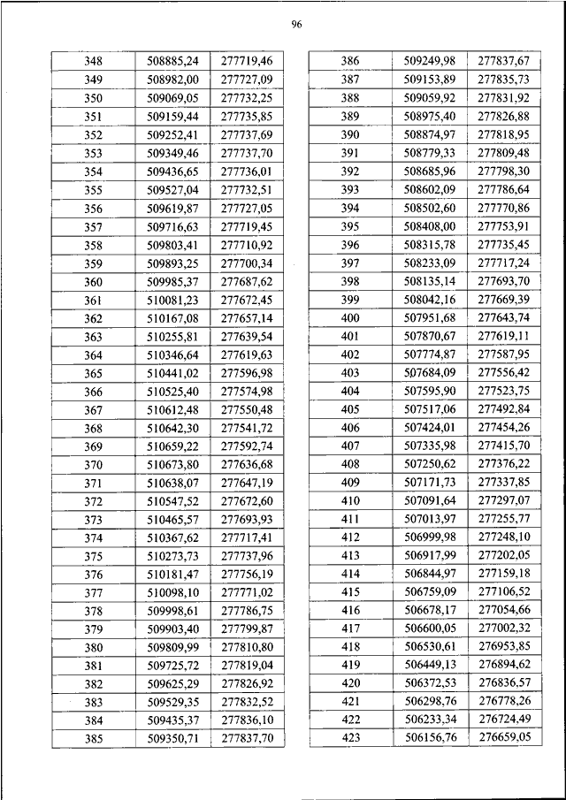
ПРИКАЗ Росавиации от 30.07.2024 N 690-П
"ОБ УСТАНОВЛЕНИИ ПРИАЭРОДРОМНОЙ ТЕРРИТОРИИ АЭРОДРОМА ГРАЖДАНСКОЙ АВИАЦИИ НАЛЬЧИК"
(Зарегистрировано в Минюсте РФ 29.08.2024 N 79315)
Показывать страниц:
1
10
100
Для качественной печати:
PDF-файл документа (124 Мб)
<<
<
92
93
94
95
96
97
98
99
100
101
102
>
>>
Страница
97
из
474
<<
<
92
93
94
95
96
97
98
99
100
101
102
>
>>