Министерство Юстиции Российской Федерации
версия для слабовидящих
×
Закрыть
Информация об официальном опубликовании
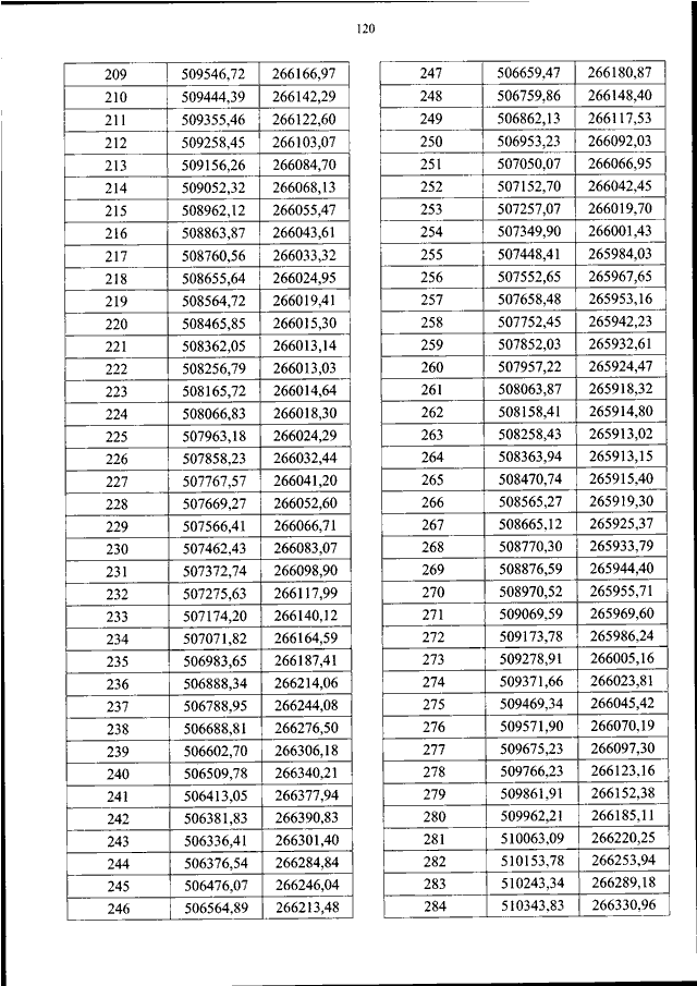
ПРИКАЗ Росавиации от 30.07.2024 N 690-П
"ОБ УСТАНОВЛЕНИИ ПРИАЭРОДРОМНОЙ ТЕРРИТОРИИ АЭРОДРОМА ГРАЖДАНСКОЙ АВИАЦИИ НАЛЬЧИК"
(Зарегистрировано в Минюсте РФ 29.08.2024 N 79315)
Показывать страниц:
1
10
100
Для качественной печати:
PDF-файл документа (124 Мб)
<<
<
116
117
118
119
120
121
122
123
124
125
126
>
>>
Страница
121
из
474
<<
<
116
117
118
119
120
121
122
123
124
125
126
>
>>