Министерство Юстиции Российской Федерации
версия для слабовидящих
×
Закрыть
Информация об официальном опубликовании
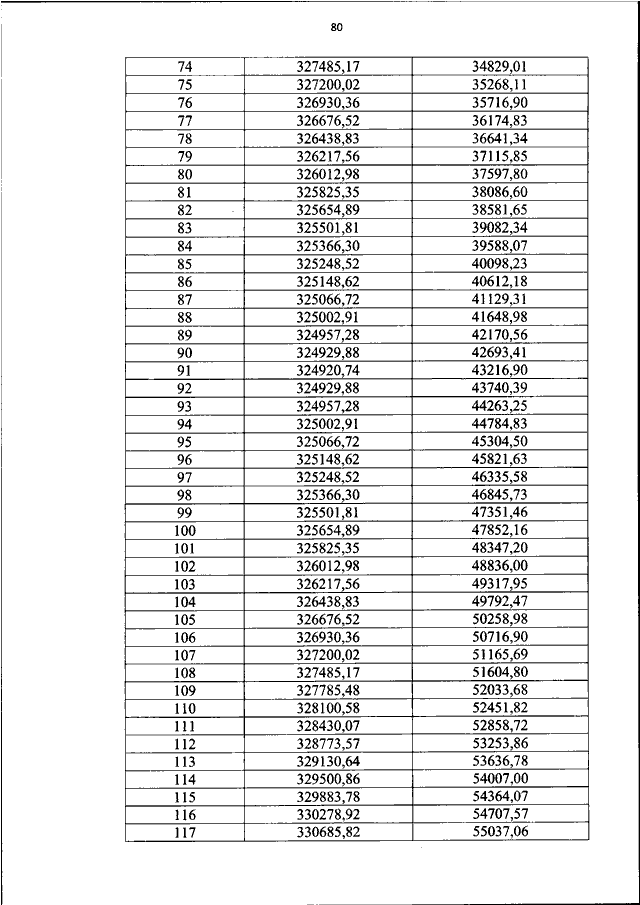
ПРИКАЗ Росавиации от 30.05.2024 N 525-П
"ОБ УСТАНОВЛЕНИИ ПРИАЭРОДРОМНОЙ ТЕРРИТОРИИ АЭРОДРОМА ГРАЖДАНСКОЙ АВИАЦИИ ШУШЕНСКОЕ"
(Зарегистрировано в Минюсте РФ 23.08.2024 N 79266)
Показывать страниц:
1
10
100
Для качественной печати:
PDF-файл документа (17 Мб)
<<
<
76
77
78
79
80
81
82
83
84
85
86
>
>>
Страница
81
из
100
<<
<
76
77
78
79
80
81
82
83
84
85
86
>
>>