Министерство Юстиции Российской Федерации
версия для слабовидящих
×
Закрыть
Информация об официальном опубликовании
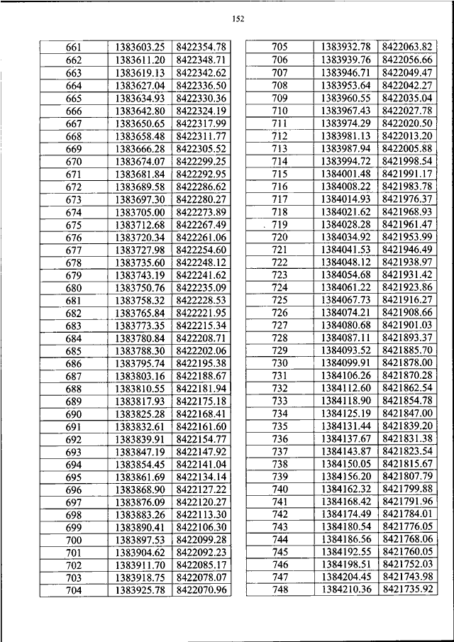
ПРИКАЗ Росавиации от 02.07.2024 N 613-П
"ОБ УСТАНОВЛЕНИИ ПРИАЭРОДРОМНОЙ ТЕРРИТОРИИ АЭРОДРОМА ГРАЖДАНСКОЙ АВИАЦИИ ЗЫРЯНКА"
(Зарегистрировано в Минюсте РФ 23.08.2024 N 79262)
Показывать страниц:
1
10
100
Для качественной печати:
PDF-файл документа (83 Мб)
<<
<
148
149
150
151
152
153
154
155
156
157
158
>
>>
Страница
153
из
554
<<
<
148
149
150
151
152
153
154
155
156
157
158
>
>>