Министерство Юстиции Российской Федерации
версия для слабовидящих
×
Закрыть
Информация об официальном опубликовании
ПРИКАЗ Минприроды РФ от 28.06.2024 N 415
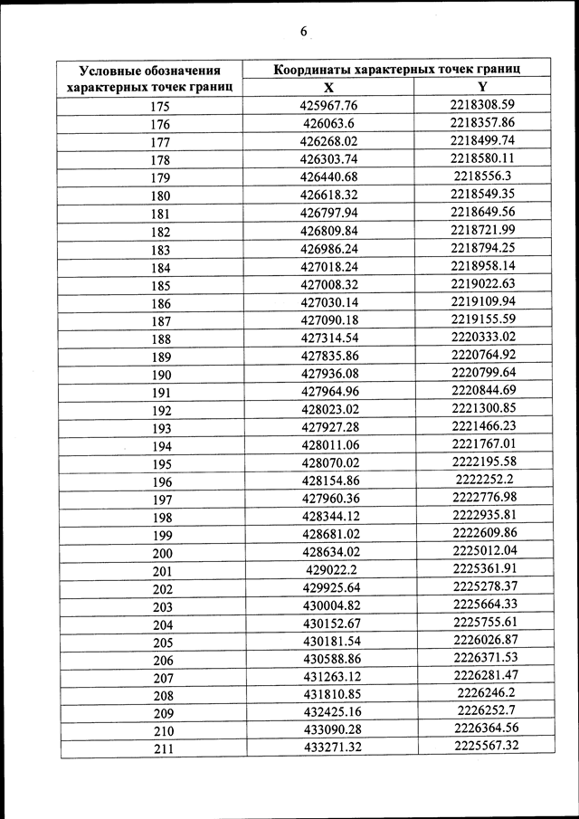
"ОБ УТВЕРЖДЕНИИ ПОЛОЖЕНИЯ О ГОСУДАРСТВЕННОМ ПРИРОДНОМ ЗАПОВЕДНИКЕ "ПОЛИСТОВСКИЙ"
(Зарегистрировано в Минюсте РФ 31.07.2024 N 78975)
Показывать страниц:
1
10
100
Для качественной печати:
PDF-файл документа (25 Мб)
<<
<
10
11
12
13
14
15
16
17
18
19
20
>
>>
Страница
15
из
25
<<
<
10
11
12
13
14
15
16
17
18
19
20
>
>>