Министерство Юстиции Российской Федерации
версия для слабовидящих
×
Закрыть
Информация об официальном опубликовании
ПРИКАЗ Минприроды РФ от 26.06.2024 N 410
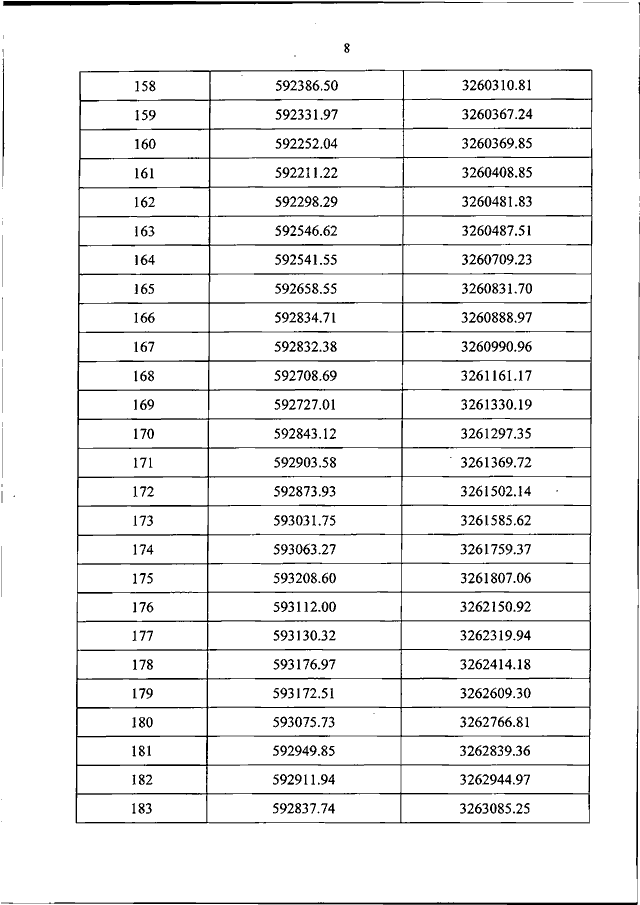
"ОБ УСТАНОВЛЕНИИ ГРАНИЦ ОХРАННОЙ ЗОНЫ ГОСУДАРСТВЕННОГО ПРИРОДНОГО ЗАПОВЕДНИКА "БОЛОНЬСКИЙ", А ТАКЖЕ ОБ УТВЕРЖДЕНИИ ПОЛОЖЕНИЯ О ДАННОЙ ОХРАННОЙ ЗОНЕ"
(Зарегистрировано в Минюсте РФ 31.07.2024 N 78974)
Показывать страниц:
1
10
100
Для качественной печати:
PDF-файл документа (2 Мб)
<<
<
4
5
6
7
8
9
10
11
12
13
14
>
>>
Страница
9
из
36
<<
<
4
5
6
7
8
9
10
11
12
13
14
>
>>