Министерство Юстиции Российской Федерации
версия для слабовидящих
×
Закрыть
Информация об официальном опубликовании
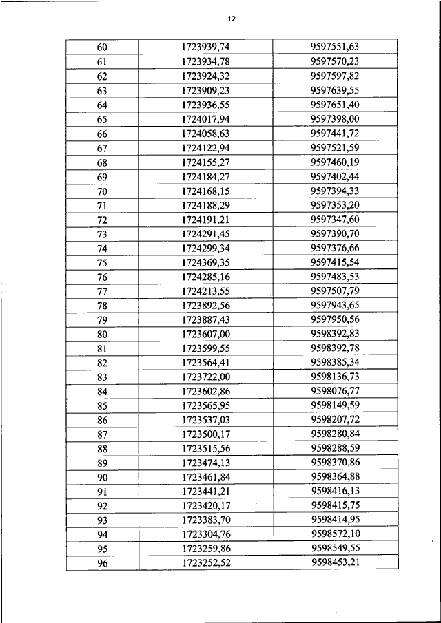
ПРИКАЗ Росавиации от 24.06.2024 N 586-П
"ОБ УСТАНОВЛЕНИИ ПРИАЭРОДРОМНОЙ ТЕРРИТОРИИ АЭРОДРОМА ГРАЖДАНСКОЙ АВИАЦИИ ЧЕРСКИЙ"
(Зарегистрировано в Минюсте РФ 24.07.2024 N 78910)
Показывать страниц:
1
10
100
Для качественной печати:
PDF-файл документа (32 Мб)
<<
<
8
9
10
11
12
13
14
15
16
17
18
>
>>
Страница
13
из
76
<<
<
8
9
10
11
12
13
14
15
16
17
18
>
>>