Министерство Юстиции Российской Федерации
версия для слабовидящих
×
Закрыть
Информация об официальном опубликовании
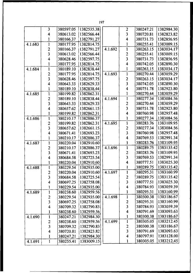
ПРИКАЗ Росавиации от 02.05.2024 N 438-П (Начало)
"ОБ УСТАНОВЛЕНИИ ПРИАЭРОДРОМНОЙ ТЕРРИТОРИИ АЭРОДРОМА ГРАЖДАНСКОЙ АВИАЦИИ СОЧИ"
(Зарегистрировано в Минюсте РФ 27.06.2024 N 78688)
Показывать страниц:
1
10
100
Для качественной печати:
PDF-файл документа (264 Мб)
<<
<
193
194
195
196
197
198
199
200
201
202
203
>
>>
Страница
198
из
821
<<
<
193
194
195
196
197
198
199
200
201
202
203
>
>>