Министерство Юстиции Российской Федерации
версия для слабовидящих
×
Закрыть
Информация об официальном опубликовании
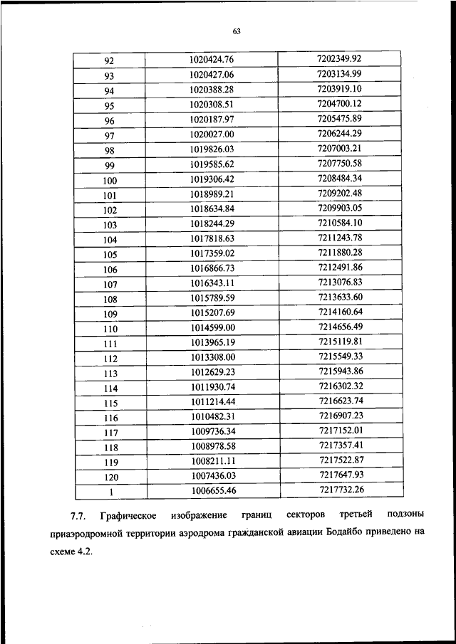
ПРИКАЗ Росавиации от 25.04.2024 N 429-П
"ОБ УСТАНОВЛЕНИИ ПРИАЭРОДРОМНОЙ ТЕРРИТОРИИ АЭРОДРОМА ГРАЖДАНСКОЙ АВИАЦИИ БОДАЙБО"
(Зарегистрировано в Минюсте РФ 03.06.2024 N 78446)
Показывать страниц:
1
10
100
Для качественной печати:
PDF-файл документа (41 Мб)
<<
<
59
60
61
62
63
64
65
66
67
68
69
>
>>
Страница
64
из
110
<<
<
59
60
61
62
63
64
65
66
67
68
69
>
>>