Министерство Юстиции Российской Федерации
версия для слабовидящих
×
Закрыть
Информация об официальном опубликовании
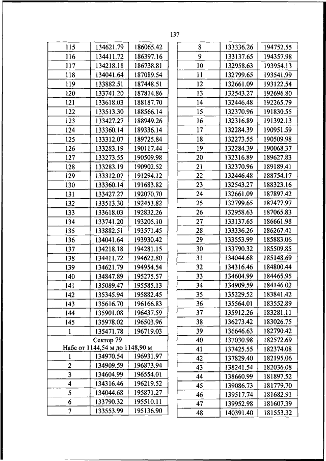
ПРИКАЗ Росавиации от 11.04.2024 N 375-П
"ОБ УСТАНОВЛЕНИИ ПРИАЭРОДРОМНОЙ ТЕРРИТОРИИ АЭРОДРОМА ГРАЖДАНСКОЙ АВИАЦИИ КЫЗЫЛ"
(Зарегистрировано в Минюсте РФ 16.05.2024 N 78180)
Показывать страниц:
1
10
100
Для качественной печати:
PDF-файл документа (55 Мб)
<<
<
133
134
135
136
137
138
139
140
141
142
143
>
>>
Страница
138
из
193
<<
<
133
134
135
136
137
138
139
140
141
142
143
>
>>