Министерство Юстиции Российской Федерации версия для слабовидящих
ПРИКАЗ Минтранса РФ от 22.03.2024 N 94
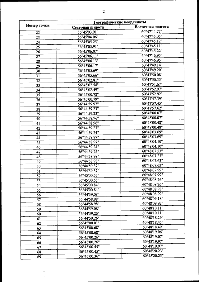
"О ВНЕСЕНИИ ИЗМЕНЕНИЙ В ПРЕДЕЛЫ ВОЗДУШНОГО ГРУЗО - ПАССАЖИРСКОГО ПОСТОЯННОГО МНОГОСТОРОННЕГО ПУНКТА ПРОПУСКА ЧЕРЕЗ ГОСУДАРСТВЕННУЮ ГРАНИЦУ РОССИЙСКОЙ ФЕДЕРАЦИИ В МЕЖДУНАРОДНОМ АЭРОПОРТУ ЕКАТЕРИНБУРГ (КОЛЬЦОВО), УТВЕРЖДЕННЫЕ ПРИКАЗОМ МИНИСТЕРСТВА ТРАНСПОРТА РОССИЙСКОЙ ФЕДЕРАЦИИ ОТ 10 ОКТЯБРЯ 2016 Г. N 289"
(Зарегистрировано в Минюсте РФ 17.04.2024 N 77903)
Показывать страниц:
Для качественной печати: PDF-файл документа (1 Мб)
Страница 3 из 16