Министерство Юстиции Российской Федерации версия для слабовидящих
ПРИКАЗ Минкультуры РФ от 28.02.2024 N 350
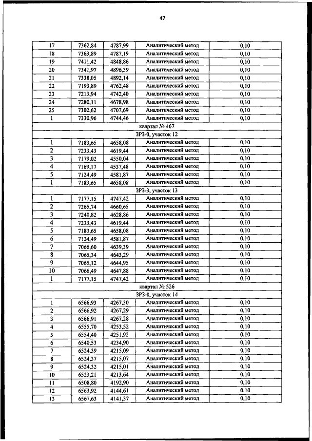
"ОБ УТВЕРЖДЕНИИ ГРАНИЦ ЗОН ОХРАНЫ ОБЪЕКТА КУЛЬТУРНОГО НАСЛЕДИЯ ФЕДЕРАЛЬНОГО ЗНАЧЕНИЯ "АНСАМБЛЬ НОВОДЕВИЧЬЕГО МОНАСТЫРЯ", XVI - ПЕРВАЯ ПОЛОВИНА XX ВВ. (Г. МОСКВА, НОВОДЕВИЧИЙ ПРОЕЗД, Д. 1), ВКЛЮЧЕННОГО В СПИСОК ВСЕМИРНОГО НАСЛЕДИЯ, ОСОБЫХ РЕЖИМОВ ИСПОЛЬЗОВАНИЯ ЗЕМЕЛЬ И ТРЕБОВАНИЙ К ГРАДОСТРОИТЕЛЬНЫМ РЕГЛАМЕНТАМ В ГРАНИЦАХ ТЕРРИТОРИЙ ДАННЫХ ЗОН"
(Зарегистрировано в Минюсте РФ 08.04.2024 N 77797)
Показывать страниц:
Для качественной печати: PDF-файл документа (21 Мб)
Страница 47 из 155