Министерство Юстиции Российской Федерации
версия для слабовидящих
×
Закрыть
Информация об официальном опубликовании
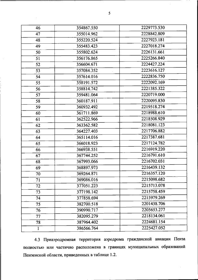
ПРИКАЗ Росавиации от 01.03.2024 N 224-П
"ОБ УСТАНОВЛЕНИИ ПРИАЭРОДРОМНОЙ ТЕРРИТОРИИ АЭРОДРОМА ГРАЖДАНСКОЙ АВИАЦИИ ПЕНЗА"
(Зарегистрировано в Минюсте РФ 01.04.2024 N 77738)
Показывать страниц:
1
10
100
Для качественной печати:
PDF-файл документа (60 Мб)
<<
<
1
2
3
4
5
6
7
8
9
10
11
>
>>
Страница
6
из
351
<<
<
1
2
3
4
5
6
7
8
9
10
11
>
>>