Министерство Юстиции Российской Федерации
версия для слабовидящих
×
Закрыть
Информация об официальном опубликовании
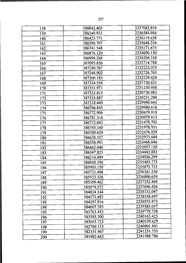
ПРИКАЗ Росавиации от 01.03.2024 N 224-П
"ОБ УСТАНОВЛЕНИИ ПРИАЭРОДРОМНОЙ ТЕРРИТОРИИ АЭРОДРОМА ГРАЖДАНСКОЙ АВИАЦИИ ПЕНЗА"
(Зарегистрировано в Минюсте РФ 01.04.2024 N 77738)
Показывать страниц:
1
10
100
Для качественной печати:
PDF-файл документа (60 Мб)
<<
<
223
224
225
226
227
228
229
230
231
232
233
>
>>
Страница
228
из
351
<<
<
223
224
225
226
227
228
229
230
231
232
233
>
>>