Министерство Юстиции Российской Федерации
версия для слабовидящих
×
Закрыть
Информация об официальном опубликовании
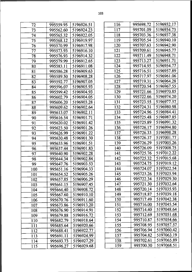
ПРИКАЗ Росавиации от 26.02.2024 N 201-П
"ОБ УСТАНОВЛЕНИИ ПРИАЭРОДРОМНОЙ ТЕРРИТОРИИ АЭРОДРОМА ГРАЖДАНСКОЙ АВИАЦИИ КИРЕНСК"
(Зарегистрировано в Минюсте РФ 01.04.2024 N 77715)
Показывать страниц:
1
10
100
Для качественной печати:
PDF-файл документа (72 Мб)
<<
<
99
100
101
102
103
104
105
106
107
108
109
>
>>
Страница
104
из
365
<<
<
99
100
101
102
103
104
105
106
107
108
109
>
>>