Министерство Юстиции Российской Федерации
версия для слабовидящих
×
Закрыть
Информация об официальном опубликовании
ПРИКАЗ Росавиации от 21.02.2024 N 186-П
"ОБ УСТАНОВЛЕНИИ ПРИАЭРОДРОМНОЙ ТЕРРИТОРИИ АЭРОДРОМА ГРАЖДАНСКОЙ АВИАЦИИ КИРОВ (ПОБЕДИЛОВО)"
(Зарегистрировано в Минюсте РФ 25.03.2024 N 77625)
Показывать страниц:
1
10
100
Для качественной печати:
PDF-файл документа (39 Мб)
<<
<
178
179
180
181
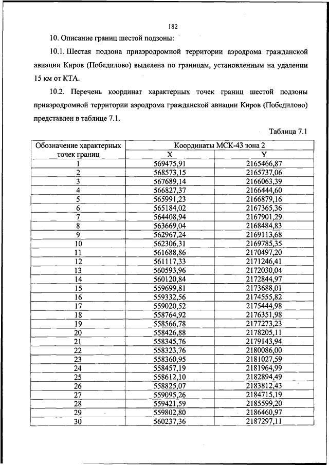
182
183
184
185
186
187
188
>
>>
Страница
183
из
223
<<
<
178
179
180
181
182
183
184
185
186
187
188
>
>>