Министерство Юстиции Российской Федерации версия для слабовидящих
ПРИКАЗ Минздрава РФ от 13.02.2024 N 54
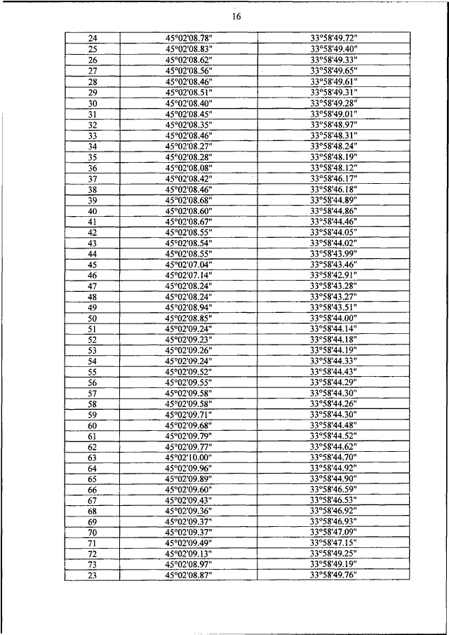
"ОБ ОТКРЫТИИ ВОЗДУШНОГО ГРУЗО - ПАССАЖИРСКОГО ПОСТОЯННОГО МНОГОСТОРОННЕГО ПУНКТА ПРОПУСКА ЧЕРЕЗ ГОСУДАРСТВЕННУЮ ГРАНИЦУ РОССИЙСКОЙ ФЕДЕРАЦИИ В МЕЖДУНАРОДНОМ АЭРОПОРТУ СИМФЕРОПОЛЬ И ОБ УТВЕРЖДЕНИИ ПРЕДЕЛОВ ДАННОГО ПУНКТА ПРОПУСКА ЧЕРЕЗ ГОСУДАРСТВЕННУЮ ГРАНИЦУ РОССИЙСКОЙ ФЕДЕРАЦИИ"
(Зарегистрировано в Минюсте РФ 15.03.2024 N 77529)
Показывать страниц:
Для качественной печати: PDF-файл документа (1 Мб)
Страница 17 из 22