Министерство Юстиции Российской Федерации
версия для слабовидящих
×
Закрыть
Информация об официальном опубликовании
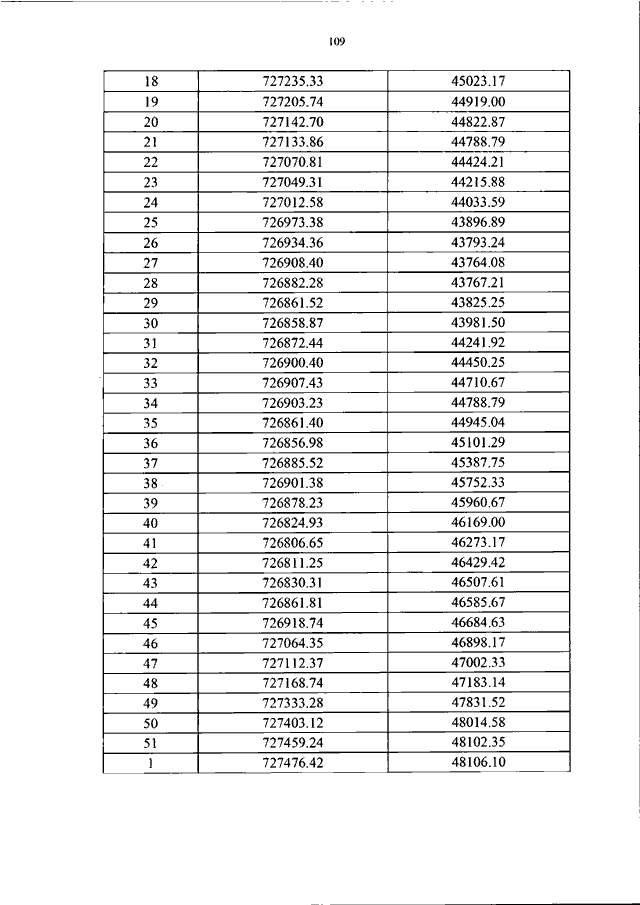
ПРИКАЗ Росавиации от 05.02.2024 N 119-П
"ОБ УСТАНОВЛЕНИИ ПРИАЭРОДРОМНОЙ ТЕРРИТОРИИ АЭРОДРОМА ГРАЖДАНСКОЙ АВИАЦИИ ДИКСОН"
(Зарегистрировано в Минюсте РФ 06.03.2024 N 77440)
Показывать страниц:
1
10
100
Для качественной печати:
PDF-файл документа (30 Мб)
<<
<
105
106
107
108
109
110
111
112
113
114
115
>
>>
Страница
110
из
119
<<
<
105
106
107
108
109
110
111
112
113
114
115
>
>>