Министерство Юстиции Российской Федерации
версия для слабовидящих
×
Закрыть
Информация об официальном опубликовании
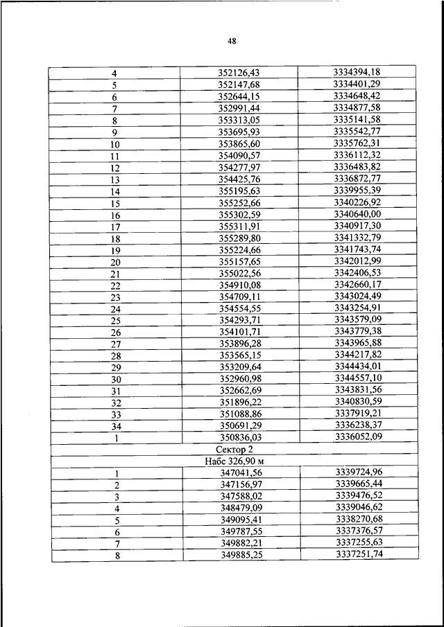
ПРИКАЗ Росавиации от 15.01.2024 N 15-П
"ОБ УСТАНОВЛЕНИИ ПРИАЭРОДРОМНОЙ ТЕРРИТОРИИ АЭРОДРОМА ГРАЖДАНСКОЙ АВИАЦИИ ОРСК"
(Зарегистрировано в Минюсте РФ 13.02.2024 N 77244)
Показывать страниц:
1
10
100
Для качественной печати:
PDF-файл документа (45 Мб)
<<
<
44
45
46
47
48
49
50
51
52
53
54
>
>>
Страница
49
из
257
<<
<
44
45
46
47
48
49
50
51
52
53
54
>
>>