Министерство Юстиции Российской Федерации
версия для слабовидящих
×
Закрыть
Информация об официальном опубликовании
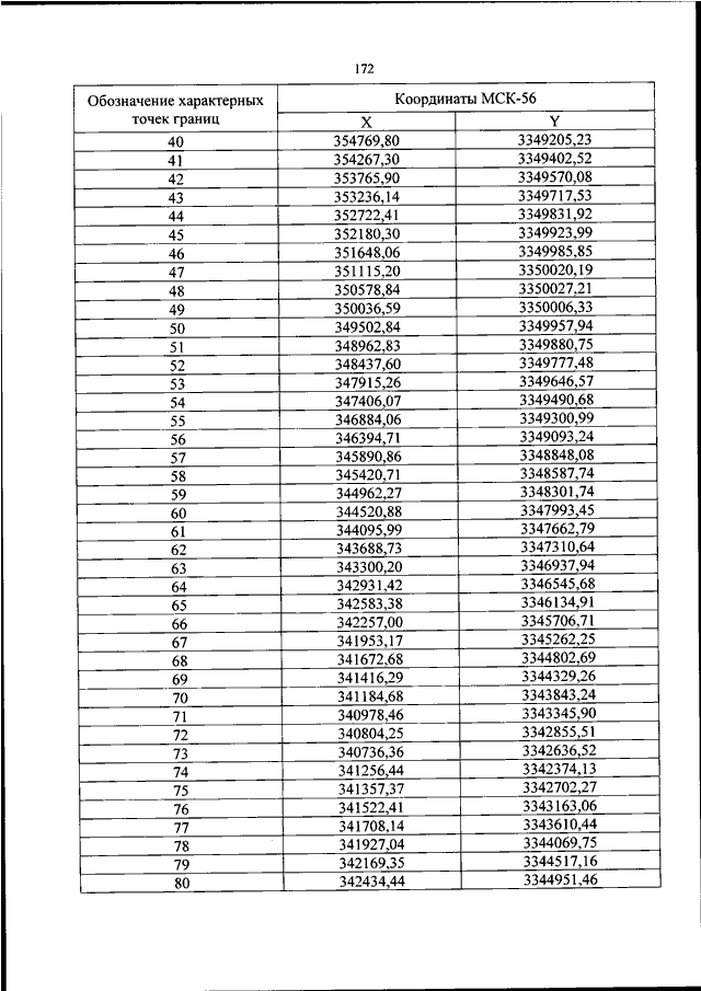
ПРИКАЗ Росавиации от 15.01.2024 N 15-П
"ОБ УСТАНОВЛЕНИИ ПРИАЭРОДРОМНОЙ ТЕРРИТОРИИ АЭРОДРОМА ГРАЖДАНСКОЙ АВИАЦИИ ОРСК"
(Зарегистрировано в Минюсте РФ 13.02.2024 N 77244)
Показывать страниц:
1
10
100
Для качественной печати:
PDF-файл документа (45 Мб)
<<
<
168
169
170
171
172
173
174
175
176
177
178
>
>>
Страница
173
из
257
<<
<
168
169
170
171
172
173
174
175
176
177
178
>
>>