Министерство Юстиции Российской Федерации
версия для слабовидящих
×
Закрыть
Информация об официальном опубликовании
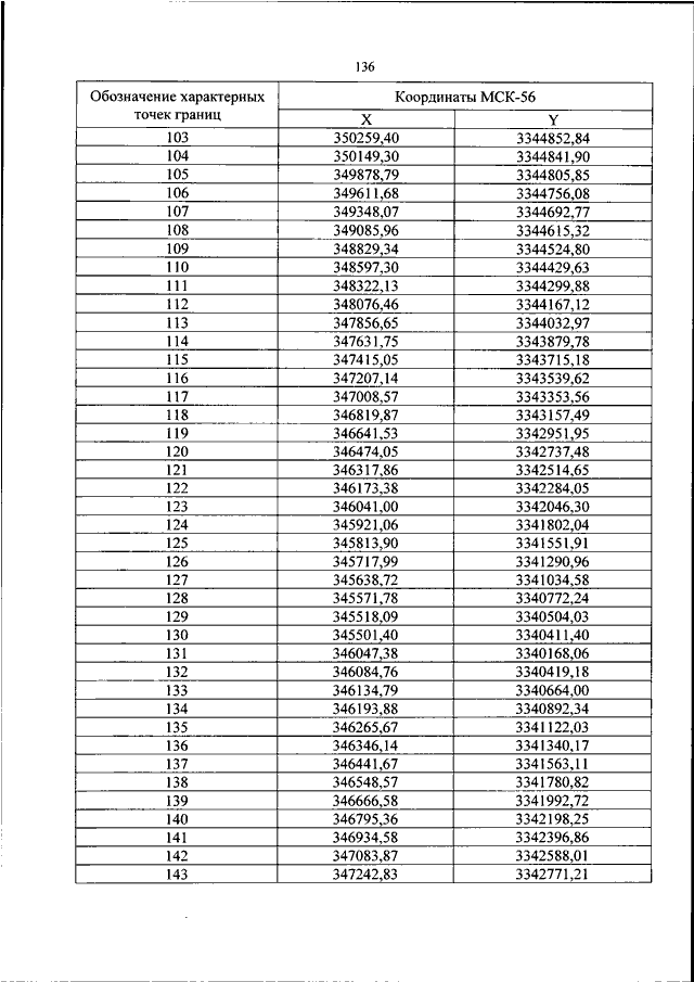
ПРИКАЗ Росавиации от 15.01.2024 N 15-П
"ОБ УСТАНОВЛЕНИИ ПРИАЭРОДРОМНОЙ ТЕРРИТОРИИ АЭРОДРОМА ГРАЖДАНСКОЙ АВИАЦИИ ОРСК"
(Зарегистрировано в Минюсте РФ 13.02.2024 N 77244)
Показывать страниц:
1
10
100
Для качественной печати:
PDF-файл документа (45 Мб)
<<
<
132
133
134
135
136
137
138
139
140
141
142
>
>>
Страница
137
из
257
<<
<
132
133
134
135
136
137
138
139
140
141
142
>
>>