Министерство Юстиции Российской Федерации
версия для слабовидящих
×
Закрыть
Информация об официальном опубликовании
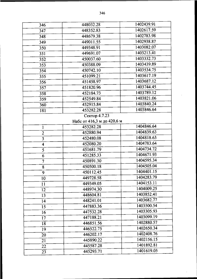
ПРИКАЗ Росавиации от 21.12.2023 N 1174-П
"ОБ УСТАНОВЛЕНИИ ПРИАЭРОДРОМНОЙ ТЕРРИТОРИИ АЭРОДРОМА ГРАЖДАНСКОЙ АВИАЦИИ НОВОКУЗНЕЦК (СПИЧЕНКОВО)"
(Зарегистрировано в Минюсте РФ 29.01.2024 N 77035)
Показывать страниц:
1
10
100
Для качественной печати:
PDF-файл документа (60 Мб)
<<
<
342
343
344
345
346
347
348
349
350
351
352
>
>>
Страница
347
из
443
<<
<
342
343
344
345
346
347
348
349
350
351
352
>
>>