Министерство Юстиции Российской Федерации
версия для слабовидящих
×
Закрыть
Информация об официальном опубликовании
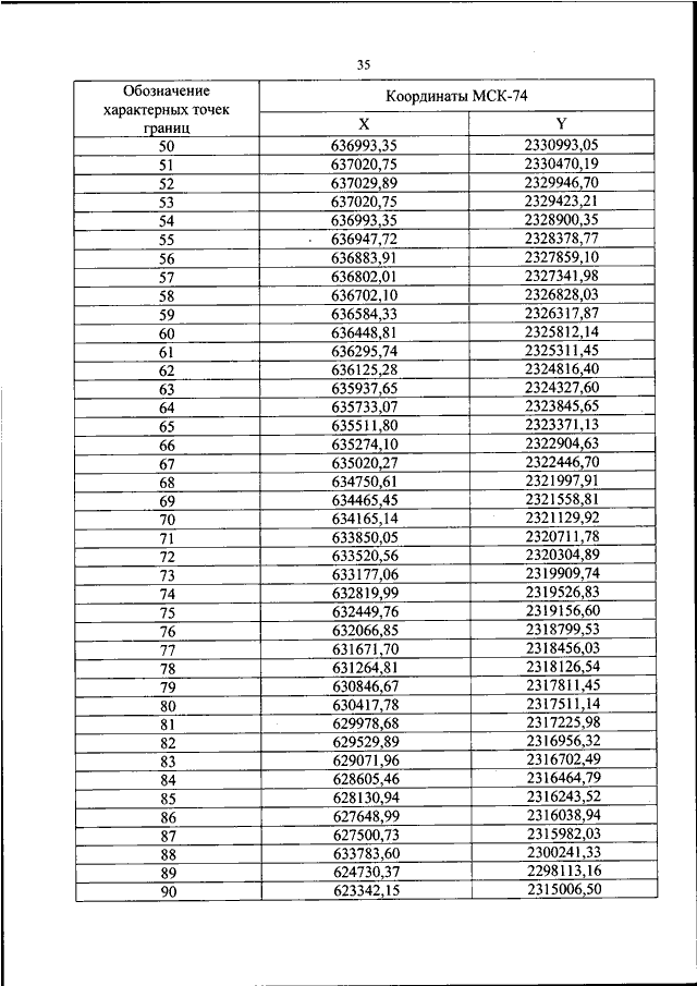
ПРИКАЗ Росавиации от 21.12.2023 N 1175-П
"ОБ УСТАНОВЛЕНИИ ПРИАЭРОДРОМНОЙ ТЕРРИТОРИИ АЭРОДРОМА ГРАЖДАНСКОЙ АВИАЦИИ ЧЕЛЯБИНСК (БАЛАНДИНО)"
(Зарегистрировано в Минюсте РФ 29.01.2024 N 77019)
Показывать страниц:
1
10
100
Для качественной печати:
PDF-файл документа (39 Мб)
<<
<
31
32
33
34
35
36
37
38
39
40
41
>
>>
Страница
36
из
270
<<
<
31
32
33
34
35
36
37
38
39
40
41
>
>>