Министерство Юстиции Российской Федерации
версия для слабовидящих
×
Закрыть
Информация об официальном опубликовании
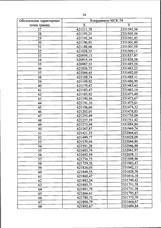
ПРИКАЗ Росавиации от 21.12.2023 N 1175-П
"ОБ УСТАНОВЛЕНИИ ПРИАЭРОДРОМНОЙ ТЕРРИТОРИИ АЭРОДРОМА ГРАЖДАНСКОЙ АВИАЦИИ ЧЕЛЯБИНСК (БАЛАНДИНО)"
(Зарегистрировано в Минюсте РФ 29.01.2024 N 77019)
Показывать страниц:
1
10
100
Для качественной печати:
PDF-файл документа (39 Мб)
<<
<
20
21
22
23
24
25
26
27
28
29
30
>
>>
Страница
25
из
270
<<
<
20
21
22
23
24
25
26
27
28
29
30
>
>>