Министерство Юстиции Российской Федерации
версия для слабовидящих
×
Закрыть
Информация об официальном опубликовании
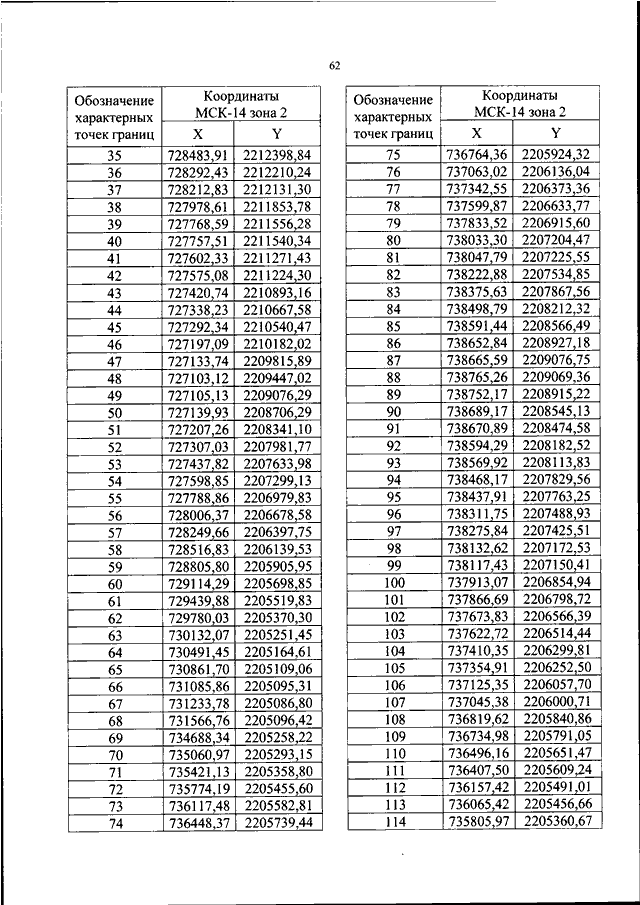
ПРИКАЗ Росавиации от 01.11.2023 N 980-П
"ОБ УСТАНОВЛЕНИИ ПРИАЭРОДРОМНОЙ ТЕРРИТОРИИ АЭРОДРОМА ГРАЖДАНСКОЙ АВИАЦИИ ТАЛАКАН"
(Зарегистрировано в Минюсте РФ 22.12.2023 N 76564)
Показывать страниц:
1
10
100
Для качественной печати:
PDF-файл документа (51 Мб)
<<
<
58
59
60
61
62
63
64
65
66
67
68
>
>>
Страница
63
из
237
<<
<
58
59
60
61
62
63
64
65
66
67
68
>
>>