Министерство Юстиции Российской Федерации
версия для слабовидящих
×
Закрыть
Информация об официальном опубликовании
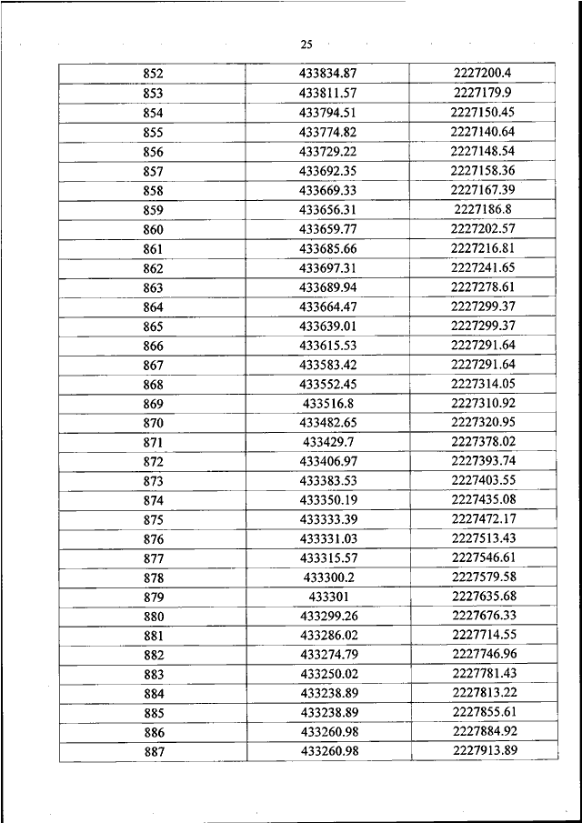
ПРИКАЗ Минприроды РФ от 14.11.2023 N 756
"ОБ УТВЕРЖДЕНИИ ПОЛОЖЕНИЯ О ГОСУДАРСТВЕННОМ ПРИРОДНОМ ЗАКАЗНИКЕ ФЕДЕРАЛЬНОГО ЗНАЧЕНИЯ "РЯЗАНСКИЙ"
(Зарегистрировано в Минюсте РФ 20.12.2023 N 76501)
Показывать страниц:
1
10
100
Для качественной печати:
PDF-файл документа (4 Мб)
<<
<
29
30
31
32
33
34
35
36
37
38
39
>
>>
Страница
34
из
40
<<
<
29
30
31
32
33
34
35
36
37
38
39
>
>>