Министерство Юстиции Российской Федерации
версия для слабовидящих
×
Закрыть
Информация об официальном опубликовании
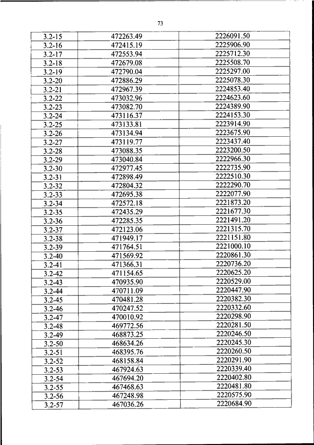
ПРИКАЗ Росавиации от 08.11.2023 N 999-П
"ОБ УСТАНОВЛЕНИИ ПРИАЭРОДРОМНОЙ ТЕРРИТОРИИ АЭРОДРОМА ГРАЖДАНСКОЙ АВИАЦИИ ЧЕРНОЕ"
(Зарегистрировано в Минюсте РФ 08.12.2023 N 76330)
Показывать страниц:
1
10
100
Для качественной печати:
PDF-файл документа (49 Мб)
<<
<
69
70
71
72
73
74
75
76
77
78
79
>
>>
Страница
74
из
183
<<
<
69
70
71
72
73
74
75
76
77
78
79
>
>>