Министерство Юстиции Российской Федерации
версия для слабовидящих
×
Закрыть
Информация об официальном опубликовании
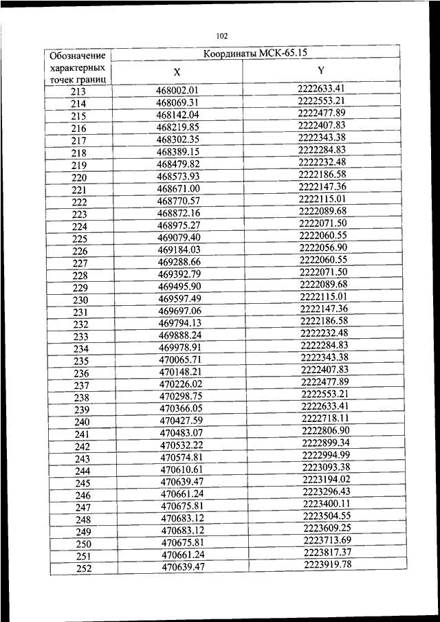
ПРИКАЗ Росавиации от 08.11.2023 N 999-П
"ОБ УСТАНОВЛЕНИИ ПРИАЭРОДРОМНОЙ ТЕРРИТОРИИ АЭРОДРОМА ГРАЖДАНСКОЙ АВИАЦИИ ЧЕРНОЕ"
(Зарегистрировано в Минюсте РФ 08.12.2023 N 76330)
Показывать страниц:
1
10
100
Для качественной печати:
PDF-файл документа (49 Мб)
<<
<
98
99
100
101
102
103
104
105
106
107
108
>
>>
Страница
103
из
183
<<
<
98
99
100
101
102
103
104
105
106
107
108
>
>>