Министерство Юстиции Российской Федерации
версия для слабовидящих
×
Закрыть
Информация об официальном опубликовании
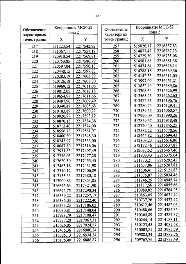
ПРИКАЗ Росавиации от 26.10.2023 N 954-П
"ОБ УСТАНОВЛЕНИИ ПРИАЭРОДРОМНОЙ ТЕРРИТОРИИ АЭРОДРОМА ГРАЖДАНСКОЙ АВИАЦИИ НИЖНИЙ НОВГОРОД (СТРИГИНО)"
(Зарегистрировано в Минюсте РФ 21.11.2023 N 76034)
Показывать страниц:
1
10
100
Для качественной печати:
PDF-файл документа (124 Мб)
<<
<
625
626
627
628
629
630
631
632
633
634
635
>
>>
Страница
630
из
658
<<
<
625
626
627
628
629
630
631
632
633
634
635
>
>>