Министерство Юстиции Российской Федерации
версия для слабовидящих
×
Закрыть
Информация об официальном опубликовании
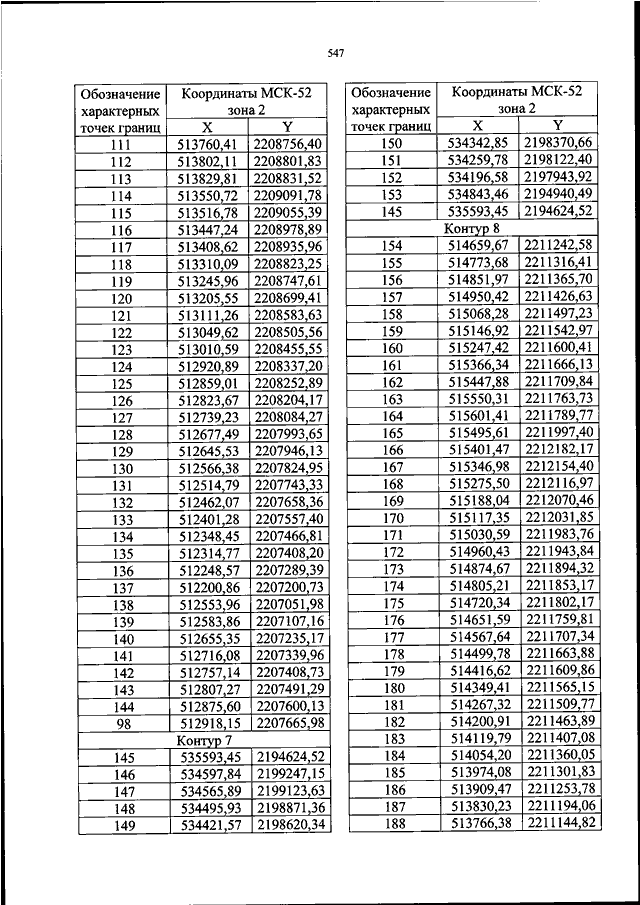
ПРИКАЗ Росавиации от 26.10.2023 N 954-П
"ОБ УСТАНОВЛЕНИИ ПРИАЭРОДРОМНОЙ ТЕРРИТОРИИ АЭРОДРОМА ГРАЖДАНСКОЙ АВИАЦИИ НИЖНИЙ НОВГОРОД (СТРИГИНО)"
(Зарегистрировано в Минюсте РФ 21.11.2023 N 76034)
Показывать страниц:
1
10
100
Для качественной печати:
PDF-файл документа (124 Мб)
<<
<
543
544
545
546
547
548
549
550
551
552
553
>
>>
Страница
548
из
658
<<
<
543
544
545
546
547
548
549
550
551
552
553
>
>>