Министерство Юстиции Российской Федерации
версия для слабовидящих
×
Закрыть
Информация об официальном опубликовании
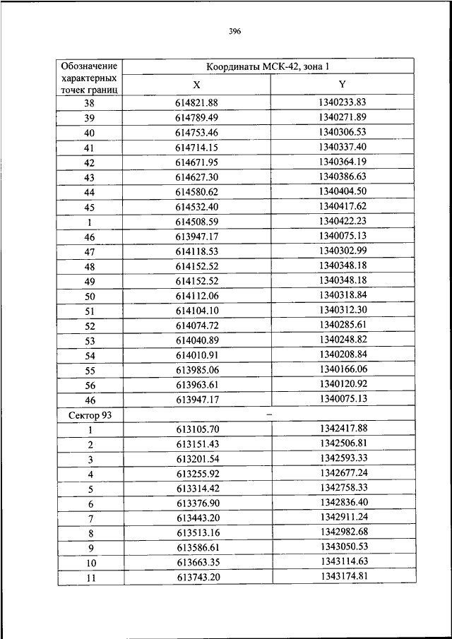
ПРИКАЗ Росавиации от 01.11.2023 N 982-П
"ОБ УСТАНОВЛЕНИИ ПРИАЭРОДРОМНОЙ ТЕРРИТОРИИ АЭРОДРОМА ГРАЖДАНСКОЙ АВИАЦИИ КЕМЕРОВО"
(Зарегистрировано в Минюсте РФ 07.12.2023 N 76317)
Показывать страниц:
1
10
100
Для качественной печати:
PDF-файл документа (66 Мб)
<<
<
392
393
394
395
396
397
398
399
400
401
402
>
>>
Страница
397
из
448
<<
<
392
393
394
395
396
397
398
399
400
401
402
>
>>