Министерство Юстиции Российской Федерации
версия для слабовидящих
×
Закрыть
Информация об официальном опубликовании
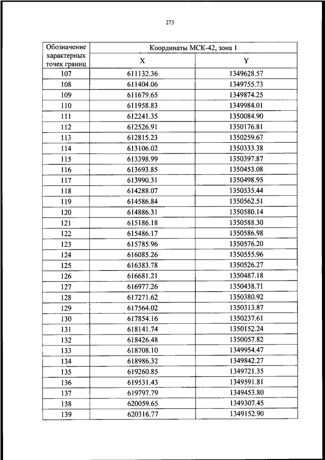
ПРИКАЗ Росавиации от 01.11.2023 N 982-П
"ОБ УСТАНОВЛЕНИИ ПРИАЭРОДРОМНОЙ ТЕРРИТОРИИ АЭРОДРОМА ГРАЖДАНСКОЙ АВИАЦИИ КЕМЕРОВО"
(Зарегистрировано в Минюсте РФ 07.12.2023 N 76317)
Показывать страниц:
1
10
100
Для качественной печати:
PDF-файл документа (66 Мб)
<<
<
269
270
271
272
273
274
275
276
277
278
279
>
>>
Страница
274
из
448
<<
<
269
270
271
272
273
274
275
276
277
278
279
>
>>