Министерство Юстиции Российской Федерации
версия для слабовидящих
×
Закрыть
Информация об официальном опубликовании
ПРИКАЗ Минприроды РФ от 12.09.2023 N 594
"ОБ УТВЕРЖДЕНИИ ПОЛОЖЕНИЯ О ГОСУДАРСТВЕННОМ ПРИРОДНОМ ЗАКАЗНИКЕ ФЕДЕРАЛЬНОГО ЗНАЧЕНИЯ "ПРИАЗОВСКИЙ"
(Зарегистрировано в Минюсте РФ 06.12.2023 N 76291)
Показывать страниц:
1
10
100
Для качественной печати:
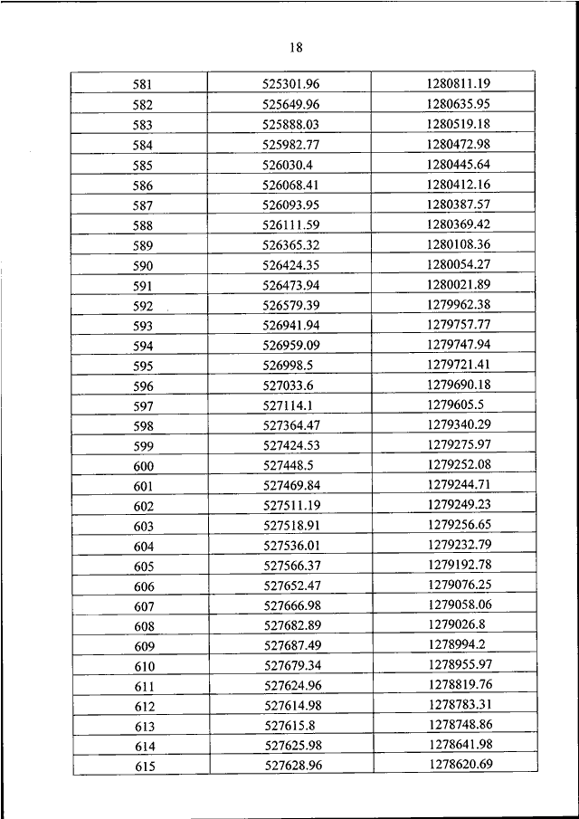
PDF-файл документа (5 Мб)
<<
<
22
23
24
25
26
27
28
29
30
31
32
>
>>
Страница
27
из
39
<<
<
22
23
24
25
26
27
28
29
30
31
32
>
>>