Министерство Юстиции Российской Федерации
версия для слабовидящих
×
Закрыть
Информация об официальном опубликовании
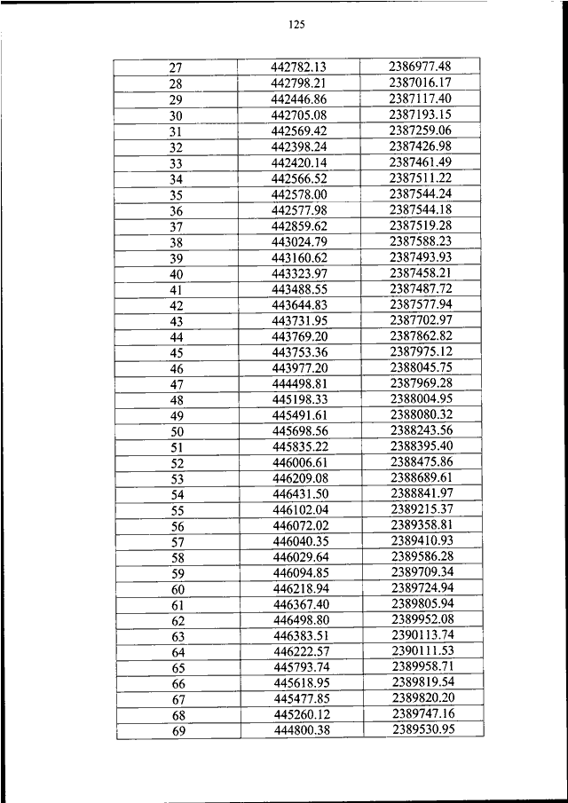
ПРИКАЗ Росавиации от 26.10.2023 N 956-П
"ОБ УСТАНОВЛЕНИИ ПРИАЭРОДРОМНОЙ ТЕРРИТОРИИ АЭРОДРОМА ГРАЖДАНСКОЙ АВИАЦИИ КУРГАН"
(Зарегистрировано в Минюсте РФ 27.11.2023 N 76115)
Показывать страниц:
1
10
100
Для качественной печати:
PDF-файл документа (115 Мб)
<<
<
121
122
123
124
125
126
127
128
129
130
131
>
>>
Страница
126
из
140
<<
<
121
122
123
124
125
126
127
128
129
130
131
>
>>