Министерство Юстиции Российской Федерации
версия для слабовидящих
×
Закрыть
Информация об официальном опубликовании
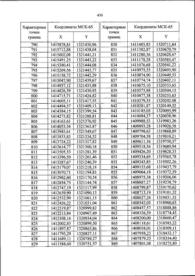
ПРИКАЗ Росавиации от 26.10.2023 N 955-П
"ОБ УСТАНОВЛЕНИИ ПРИАЭРОДРОМНОЙ ТЕРРИТОРИИ АЭРОДРОМА ГРАЖДАНСКОЙ АВИАЦИИ ОХА (НОВОСТРОЙКА)"
(Зарегистрировано в Минюсте РФ 27.11.2023 N 76113)
Показывать страниц:
1
10
100
Для качественной печати:
PDF-файл документа (97 Мб)
<<
<
426
427
428
429
430
431
432
433
434
435
436
>
>>
Страница
431
из
673
<<
<
426
427
428
429
430
431
432
433
434
435
436
>
>>