Министерство Юстиции Российской Федерации
версия для слабовидящих
×
Закрыть
Информация об официальном опубликовании
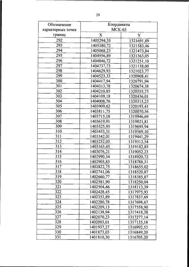
ПРИКАЗ Росавиации от 26.10.2023 N 955-П
"ОБ УСТАНОВЛЕНИИ ПРИАЭРОДРОМНОЙ ТЕРРИТОРИИ АЭРОДРОМА ГРАЖДАНСКОЙ АВИАЦИИ ОХА (НОВОСТРОЙКА)"
(Зарегистрировано в Минюсте РФ 27.11.2023 N 76113)
Показывать страниц:
1
10
100
Для качественной печати:
PDF-файл документа (97 Мб)
<<
<
25
26
27
28
29
30
31
32
33
34
35
>
>>
Страница
30
из
673
<<
<
25
26
27
28
29
30
31
32
33
34
35
>
>>