Министерство Юстиции Российской Федерации
версия для слабовидящих
×
Закрыть
Информация об официальном опубликовании
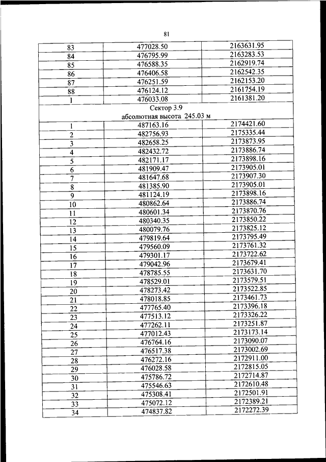
ПРИКАЗ Росавиации от 23.10.2023 N 925-П
"ОБ УСТАНОВЛЕНИИ ПРИАЭРОДРОМНОЙ ТЕРРИТОРИИ АЭРОДРОМА ГРАЖДАНСКОЙ АВИАЦИИ ОМСК (ЦЕНТРАЛЬНЫЙ)"
(Зарегистрировано в Минюсте РФ 22.11.2023 N 76060)
Показывать страниц:
1
10
100
Для качественной печати:
PDF-файл документа (146 Мб)
<<
<
77
78
79
80
81
82
83
84
85
86
87
>
>>
Страница
82
из
748
<<
<
77
78
79
80
81
82
83
84
85
86
87
>
>>