Министерство Юстиции Российской Федерации
версия для слабовидящих
×
Закрыть
Информация об официальном опубликовании
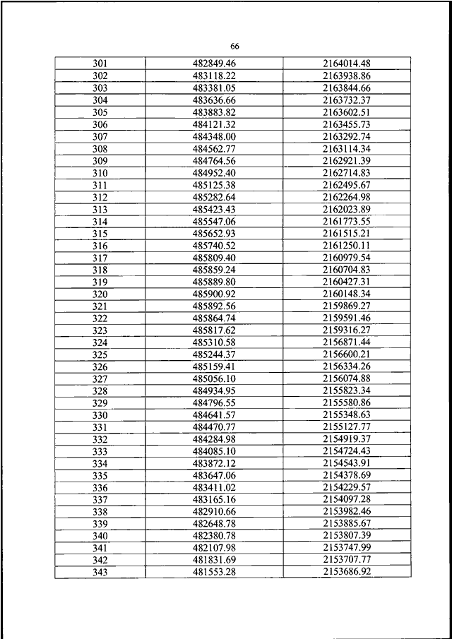
ПРИКАЗ Росавиации от 23.10.2023 N 925-П
"ОБ УСТАНОВЛЕНИИ ПРИАЭРОДРОМНОЙ ТЕРРИТОРИИ АЭРОДРОМА ГРАЖДАНСКОЙ АВИАЦИИ ОМСК (ЦЕНТРАЛЬНЫЙ)"
(Зарегистрировано в Минюсте РФ 22.11.2023 N 76060)
Показывать страниц:
1
10
100
Для качественной печати:
PDF-файл документа (146 Мб)
<<
<
62
63
64
65
66
67
68
69
70
71
72
>
>>
Страница
67
из
748
<<
<
62
63
64
65
66
67
68
69
70
71
72
>
>>