Министерство Юстиции Российской Федерации
версия для слабовидящих
×
Закрыть
Информация об официальном опубликовании
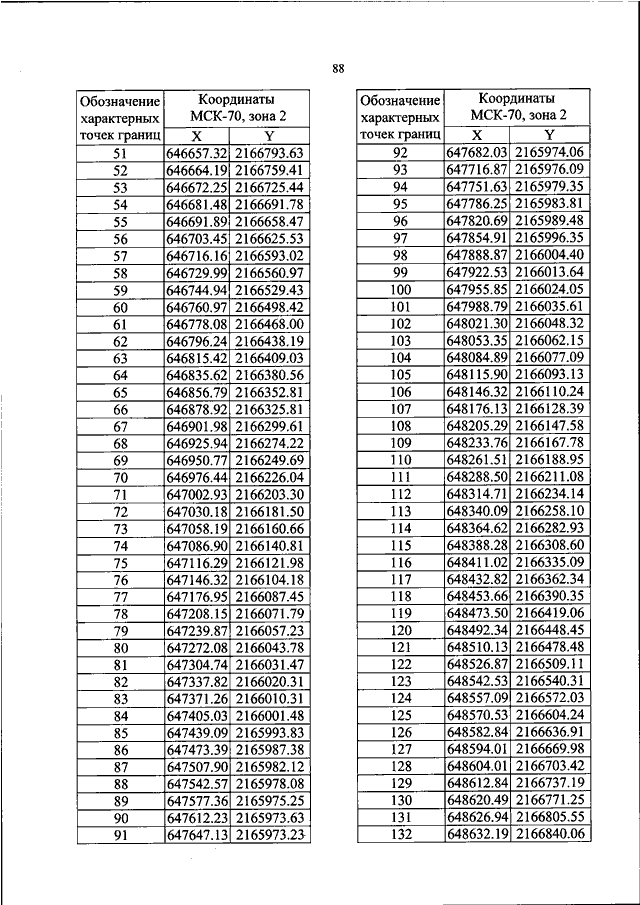
ПРИКАЗ Росавиации от 23.10.2023 N 924-П
"ОБ УСТАНОВЛЕНИИ ПРИАЭРОДРОМНОЙ ТЕРРИТОРИИ АЭРОДРОМА ГРАЖДАНСКОЙ АВИАЦИИ ПИОНЕРНЫЙ"
(Зарегистрировано в Минюсте РФ 22.11.2023 N 76050)
Показывать страниц:
1
10
100
Для качественной печати:
PDF-файл документа (53 Мб)
<<
<
84
85
86
87
88
89
90
91
92
93
94
>
>>
Страница
89
из
136
<<
<
84
85
86
87
88
89
90
91
92
93
94
>
>>