Министерство Юстиции Российской Федерации
версия для слабовидящих
×
Закрыть
Информация об официальном опубликовании
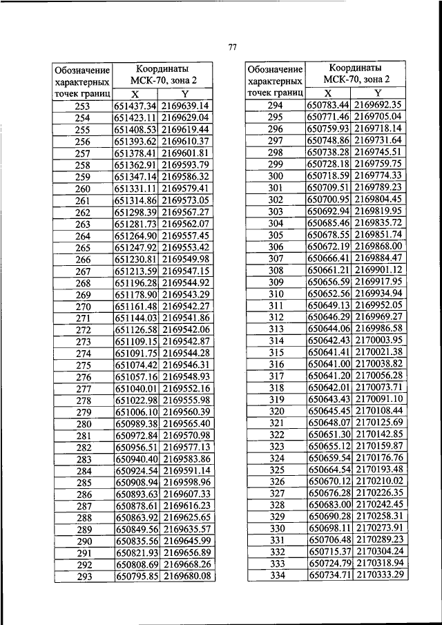
ПРИКАЗ Росавиации от 23.10.2023 N 924-П
"ОБ УСТАНОВЛЕНИИ ПРИАЭРОДРОМНОЙ ТЕРРИТОРИИ АЭРОДРОМА ГРАЖДАНСКОЙ АВИАЦИИ ПИОНЕРНЫЙ"
(Зарегистрировано в Минюсте РФ 22.11.2023 N 76050)
Показывать страниц:
1
10
100
Для качественной печати:
PDF-файл документа (53 Мб)
<<
<
73
74
75
76
77
78
79
80
81
82
83
>
>>
Страница
78
из
136
<<
<
73
74
75
76
77
78
79
80
81
82
83
>
>>