Министерство Юстиции Российской Федерации
версия для слабовидящих
×
Закрыть
Информация об официальном опубликовании
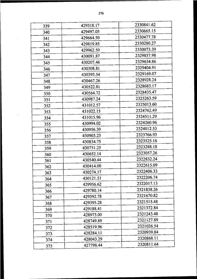
ПРИКАЗ Росавиации от 12.10.2023 N 880-П
"ОБ УСТАНОВЛЕНИИ ПРИАЭРОДРОМНОЙ ТЕРРИТОРИИ АЭРОДРОМА ГРАЖДАНСКОЙ АВИАЦИИ ЭЛИСТА"
(Зарегистрировано в Минюсте РФ 12.10.2023 N 75953)
Показывать страниц:
1
10
100
Для качественной печати:
PDF-файл документа (73 Мб)
<<
<
272
273
274
275
276
277
278
279
280
281
282
>
>>
Страница
277
из
692
<<
<
272
273
274
275
276
277
278
279
280
281
282
>
>>