Министерство Юстиции Российской Федерации
версия для слабовидящих
×
Закрыть
Информация об официальном опубликовании
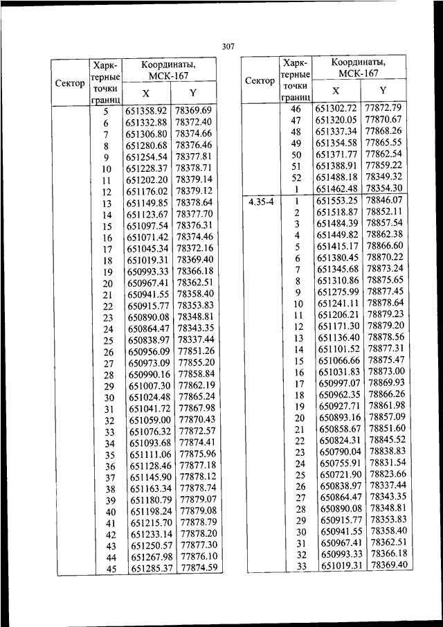
ПРИКАЗ Росавиации от 16.10.2023 N 898-П
"ОБ УСТАНОВЛЕНИИ ПРИАЭРОДРОМНОЙ ТЕРРИТОРИИ АЭРОДРОМА ГРАЖДАНСКОЙ АВИАЦИИ ЧЕРЕМШАНКА"
(Зарегистрировано в Минюсте РФ 14.11.2023 N 75944)
Показывать страниц:
1
10
100
Для качественной печати:
PDF-файл документа (77 Мб)
<<
<
303
304
305
306
307
308
309
310
311
312
313
>
>>
Страница
308
из
444
<<
<
303
304
305
306
307
308
309
310
311
312
313
>
>>