Министерство Юстиции Российской Федерации версия для слабовидящих
ПРИКАЗ Минкультуры РФ от 18.10.2023 N 2904
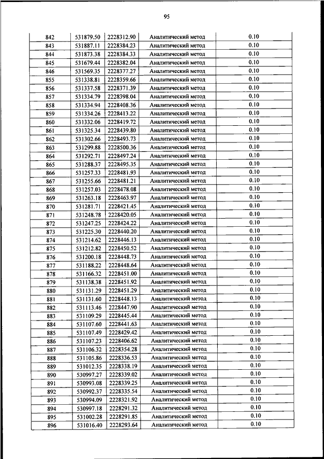
"ОБ УТВЕРЖДЕНИИ ГРАНИЦ ЗОН ОХРАНЫ ОБЪЕКТА КУЛЬТУРНОГО НАСЛЕДИЯ ФЕДЕРАЛЬНОГО ЗНАЧЕНИЯ "АРХИТЕКТУРНЫЙ АНСАМБЛЬ ТРОИЦЕ - СЕРГИЕВОЙ ЛАВРЫ В ГОРОДЕ СЕРГИЕВ ПОСАД", XIV - СЕРЕДИНА XX ВЕКА (МОСКОВСКАЯ ОБЛАСТЬ СЕРГИЕВО - ПОСАДСКИЙ РАЙОН, ГОРОДСКОЕ ПОСЕЛЕНИЕ СЕРГИЕВ ПОСАД, Г. СЕРГИЕВ ПОСАД), ВКЛЮЧЕННОГО В СПИСОК ВСЕМИРНОГО НАСЛЕДИЯ, ОСОБЫХ РЕЖИМОВ ИСПОЛЬЗОВАНИЯ ЗЕМЕЛЬ И ТРЕБОВАНИЙ К ГРАДОСТРОИТЕЛЬНЫМ РЕГЛАМЕНТАМ В ГРАНИЦАХ ТЕРРИТОРИЙ ДАННЫХ ЗОН"
(Зарегистрировано в Минюсте РФ 13.11.2023 N 75933)
Показывать страниц:
Для качественной печати: PDF-файл документа (95 Мб)
Страница 95 из 210