Министерство Юстиции Российской Федерации
версия для слабовидящих
×
Закрыть
Информация об официальном опубликовании
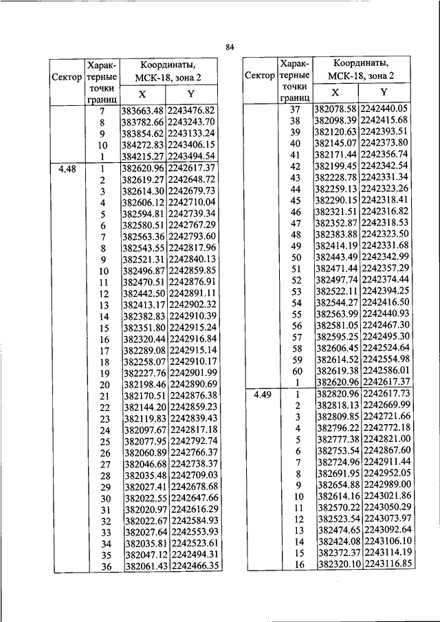
ПРИКАЗ Росавиации от 12.10.2023 N 881-П
"ОБ УСТАНОВЛЕНИИ ПРИАЭРОДРОМНОЙ ТЕРРИТОРИИ АЭРОДРОМА ГРАЖДАНСКОЙ АВИАЦИИ ИЖЕВСК"
(Зарегистрировано в Минюсте РФ 13.11.2023 N 75927)
Показывать страниц:
1
10
100
Для качественной печати:
PDF-файл документа (56 Мб)
<<
<
80
81
82
83
84
85
86
87
88
89
90
>
>>
Страница
85
из
231
<<
<
80
81
82
83
84
85
86
87
88
89
90
>
>>