Министерство Юстиции Российской Федерации
версия для слабовидящих
×
Закрыть
Информация об официальном опубликовании
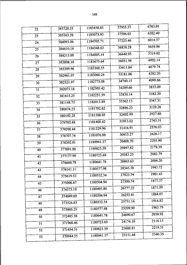
ПРИКАЗ Росавиации от 05.07.2023 N 494-П
"ОБ УСТАНОВЛЕНИИ ПРИАЭРОДРОМНОЙ ТЕРРИТОРИИ АЭРОДРОМА ГРАЖДАНСКОЙ АВИАЦИИ КАЛИНИНГРАД (ХРАБРОВО)"
(Зарегистрировано в Минюсте РФ 03.11.2023 N 75842)
Показывать страниц:
1
10
100
Для качественной печати:
PDF-файл документа (42 Мб)
<<
<
141
142
143
144
145
146
147
148
149
150
151
>
>>
Страница
146
из
172
<<
<
141
142
143
144
145
146
147
148
149
150
151
>
>>