Министерство Юстиции Российской Федерации
версия для слабовидящих
×
Закрыть
Информация об официальном опубликовании
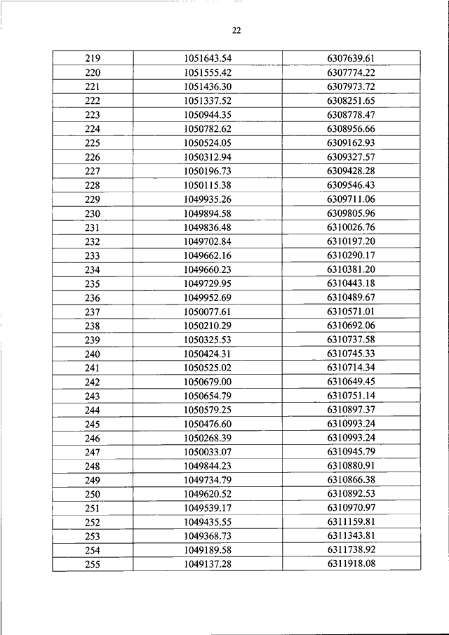
ПРИКАЗ Росавиации от 28.09.2023 N 816-П
"ОБ УСТАНОВЛЕНИИ ПРИАЭРОДРОМНОЙ ТЕРРИТОРИИ АЭРОДРОМА ГРАЖДАНСКОЙ АВИАЦИИ МАМА"
(Зарегистрировано в Минюсте РФ 26.10.2023 N 75748)
Показывать страниц:
1
10
100
Для качественной печати:
PDF-файл документа (49 Мб)
<<
<
18
19
20
21
22
23
24
25
26
27
28
>
>>
Страница
23
из
167
<<
<
18
19
20
21
22
23
24
25
26
27
28
>
>>