Министерство Юстиции Российской Федерации
версия для слабовидящих
×
Закрыть
Информация об официальном опубликовании
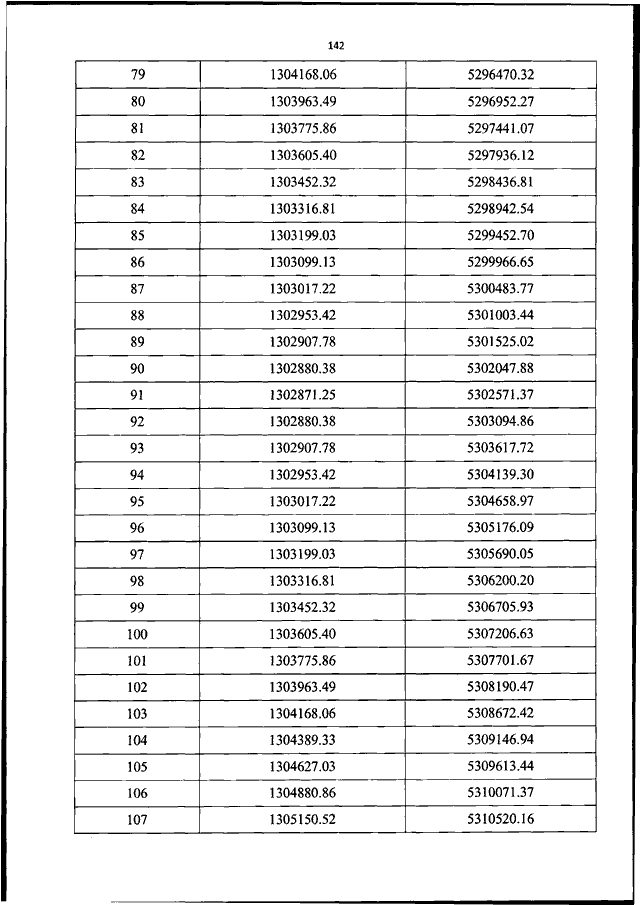
ПРИКАЗ Росавиации от 21.09.2023 N 786-П
"ОБ УСТАНОВЛЕНИИ ПРИАЭРОДРОМНОЙ ТЕРРИТОРИИ АЭРОДРОМА ГРАЖДАНСКОЙ АВИАЦИИ КЕНЕРВЕЕМ"
(Зарегистрировано в Минюсте РФ 23.10.2023 N 75683)
Показывать страниц:
1
10
100
Для качественной печати:
PDF-файл документа (36 Мб)
<<
<
138
139
140
141
142
143
144
145
146
147
148
>
>>
Страница
143
из
162
<<
<
138
139
140
141
142
143
144
145
146
147
148
>
>>