Министерство Юстиции Российской Федерации
версия для слабовидящих
×
Закрыть
Информация об официальном опубликовании
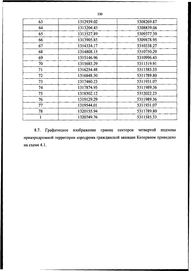
ПРИКАЗ Росавиации от 21.09.2023 N 786-П
"ОБ УСТАНОВЛЕНИИ ПРИАЭРОДРОМНОЙ ТЕРРИТОРИИ АЭРОДРОМА ГРАЖДАНСКОЙ АВИАЦИИ КЕНЕРВЕЕМ"
(Зарегистрировано в Минюсте РФ 23.10.2023 N 75683)
Показывать страниц:
1
10
100
Для качественной печати:
PDF-файл документа (36 Мб)
<<
<
126
127
128
129
130
131
132
133
134
135
136
>
>>
Страница
131
из
162
<<
<
126
127
128
129
130
131
132
133
134
135
136
>
>>