Министерство Юстиции Российской Федерации
версия для слабовидящих
×
Закрыть
Информация об официальном опубликовании
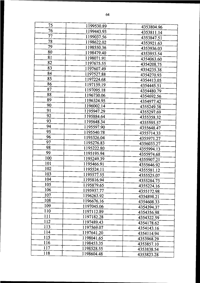
ПРИКАЗ Росавиации от 09.08.2023 N 644-П
"ОБ УСТАНОВЛЕНИИ ПРИАЭРОДРОМНОЙ ТЕРРИТОРИИ АЭРОДРОМА ГРАЖДАНСКОЙ АВИАЦИИ НОЯБРЬСК"
(Зарегистрировано в Минюсте РФ 22.09.2023 N 75308)
Показывать страниц:
1
10
100
Для качественной печати:
PDF-файл документа (60 Мб)
<<
<
60
61
62
63
64
65
66
67
68
69
70
>
>>
Страница
65
из
388
<<
<
60
61
62
63
64
65
66
67
68
69
70
>
>>