Министерство Юстиции Российской Федерации
версия для слабовидящих
×
Закрыть
Информация об официальном опубликовании
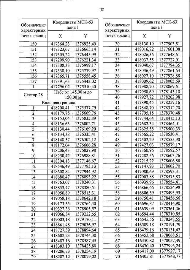
ПРИКАЗ Росавиации от 15.08.2023 N 662-П
"ОБ УСТАНОВЛЕНИИ ПРИАЭРОДРОМНОЙ ТЕРРИТОРИИ АЭРОДРОМА ГРАЖДАНСКОЙ АВИАЦИИ САМАРА (КУРУМОЧ)"
(Зарегистрировано в Минюсте РФ 13.09.2023 N 75205)
Показывать страниц:
1
10
100
Для качественной печати:
PDF-файл документа (66 Мб)
<<
<
177
178
179
180
181
182
183
184
185
186
187
>
>>
Страница
182
из
270
<<
<
177
178
179
180
181
182
183
184
185
186
187
>
>>